Main News
Crime
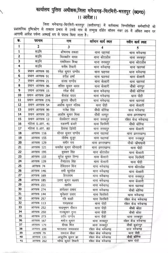
Chhattisgarh
Politics
National
बॉर्डर पार करते ही खत्म होगा खेल! बंगाल में घुसपैठियों पर सबसे बड़ा एक्शन, पकड़ते ही सीधे सीमा पर भेजने का आदेश
स्वतंत्र बोल कोलकाता 22 मई 2026: बंगाल में अवैध बांग्लादेशी घुसपैठ को लेकर बड़ा और बेहद…
International
Israel-Iran Conflict : ईरान-इजरायल तनाव के बीच एयर इंडिया का बड़ा कदम, 16 फ्लाइट्स का बदला गया रूट
स्वतंत्र बोल इजरायल 13 जून 2025: इजरायल और ईरान के बीच बढ़ते युद्ध जैसे हालात…
Entertainment
Ad

Sports
रायपुर में उतरते ही RCB पर चढ़ा ‘छत्तीसगढ़िया रंग’! कांदा भाजी और तिखुर शरबत के दीवाने हुए खिलाड़ी, अब अनुष्का शर्मा की एंट्री का इंतजार
स्वतंत्र बोल रायपुर ,10 मई 2026: आईपीएल का रोमांच इस बार राजधानी रायपुर में अलग…












